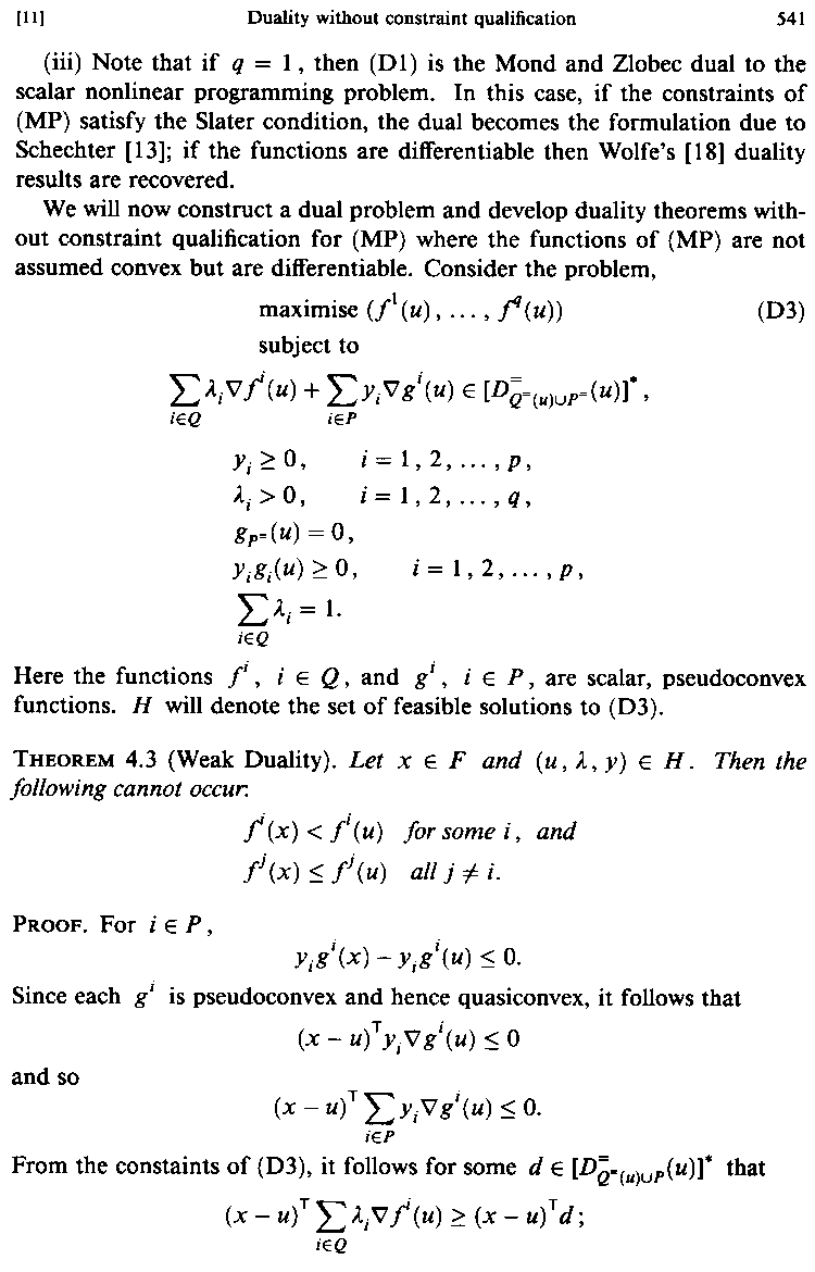
© Austral Math Soc, 1992 [start] [prev] [next] [end]
p541.png
[start] [prev] [next] [end]