© Austral Math Soc, 1994 [start] [prev] [next] [end]
p24.png
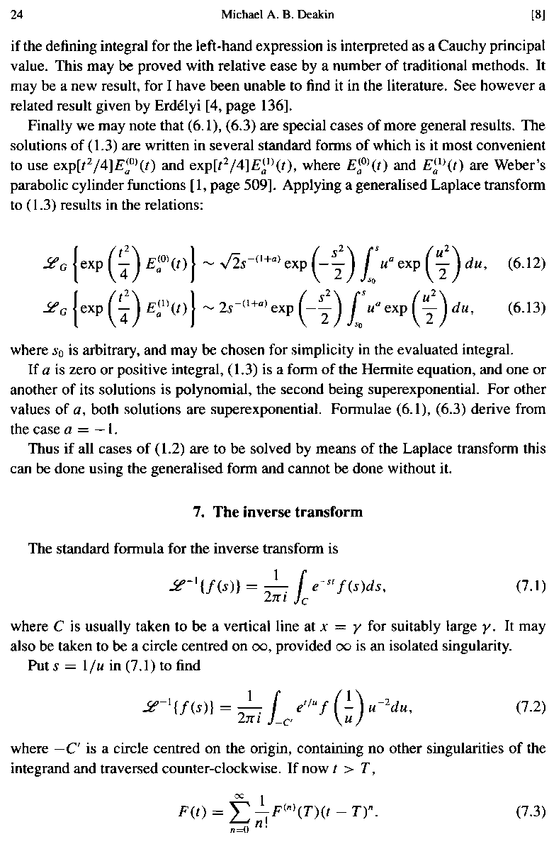
[start] [prev] [next] [end]