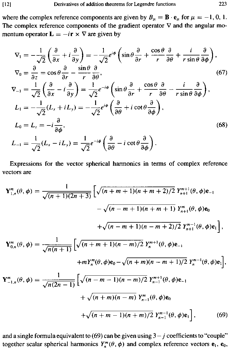
© Austral Math Soc, 1995 [start] [prev] [next] [end]
p223.png
[start] [prev] [next] [end]