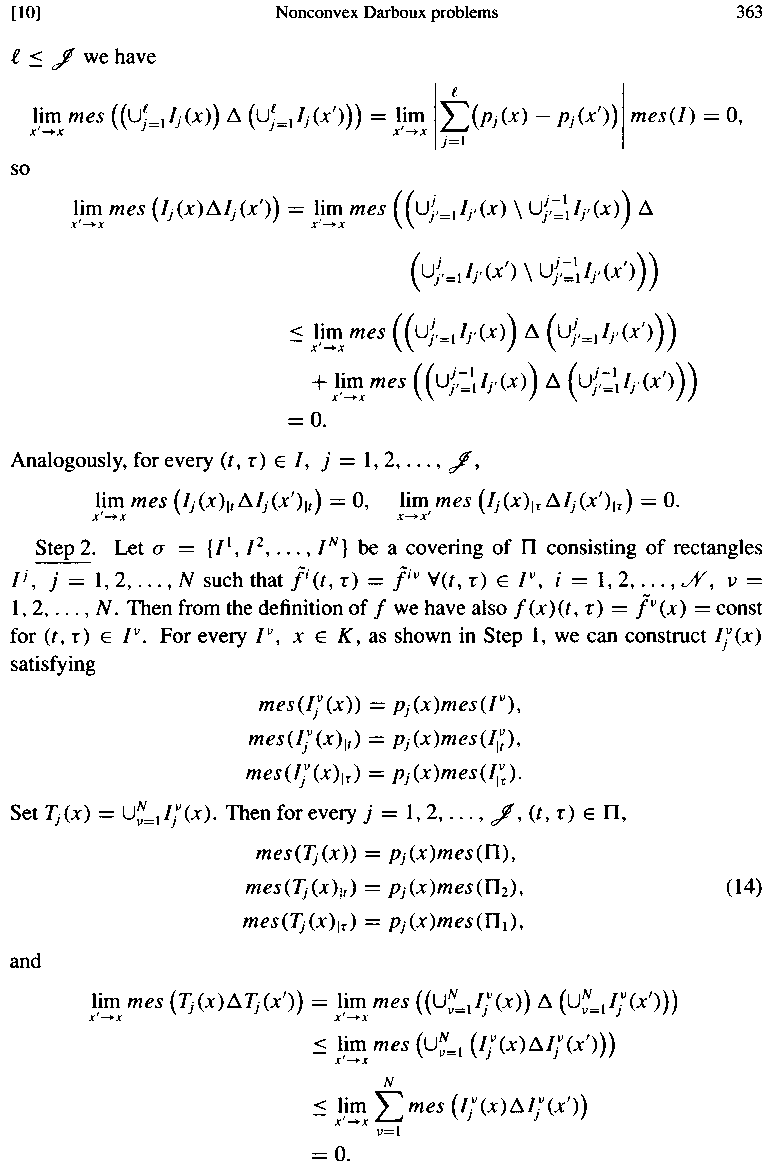
© Austral Math Soc, 1996 [start] [prev] [next] [end]
p363.png
[start] [prev] [next] [end]