© Austral Math Soc, 1996 [start] [prev] [next] [end]
p554.png
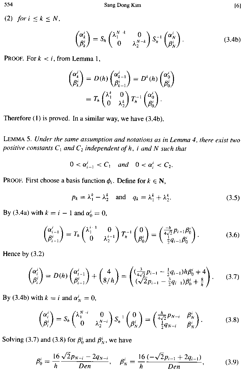
[start] [prev] [next] [end]